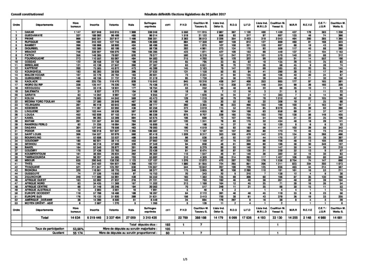
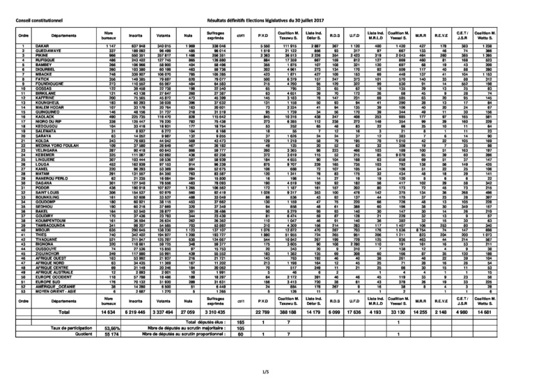
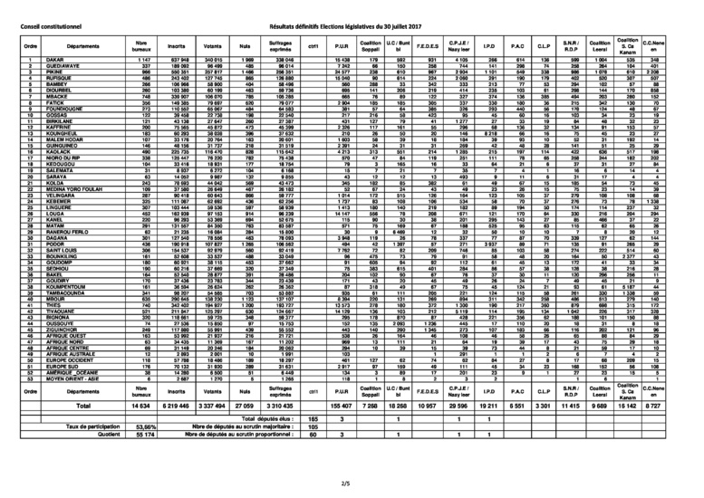
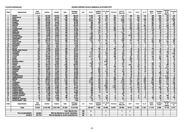
Autres articles
-
Gouvernance : Le Chef de l'État dévoile les projets de réformes de la Justice et du système politique
-
Climat social : Le Chef de l'État recevra les cahiers de doléances des syndicats le 1er mai
-
Développement : Le Chef de l'État ordonne la refondation agricole et le désenclavement de la région de Kolda
-
Éducation : Le Chef de l'État ordonne l'intégration de l'Histoire générale du Sénégal dans les programmes scolaires
-
Politique étrangère : Le Sénégal mise sur une diplomatie économique pour porter la Vision 2050









Gouvernance : Le Chef de l'État dévoile les projets de réformes de la Justice et du système politique


