Connectez-vous S'inscrire
PRESSAFRIK.COM , L'info dans toute sa diversité (Liberté - Professionnalisme - Crédibilité)

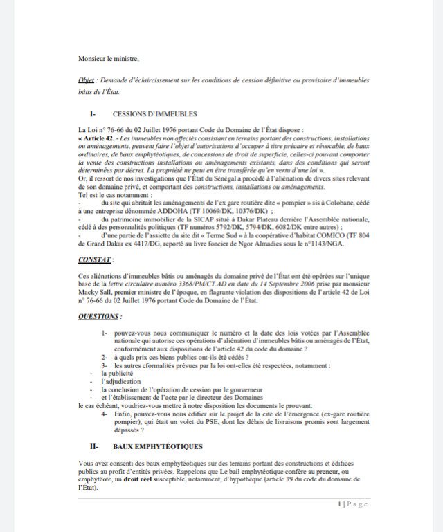
Affaires Terme Sud et cession de biens appartenant à l'Etat: Ousmane Sonko saisit l'Assemblée nationale (Documents)

Ousmane Sonko a déposé deux questions écrites sur l'affaire Terme Sud et la cession de biens immobiliers appartenant à l'Etat. "Loin des passions, le débat sur la transparence dans la gestion de nos biens publics doit se tenir sur la base de données techniques, juridiques et factuelles irréfutables, n'en déplaise aux adeptes des diversions médiatiques et de la manipulation de masse. C'est pourquoi j'ai déposé le vendredi passé deux séries de questions écrites sur la table du gouvernement ; conformément aux dispositions des articles 192 et suivants du règlement intérieur de l'Assemblée nationale.
Le gouvernement est obligatoirement tenu d'y répondre dans un délai d'un mois", renseigne le leader de Pastef.



Affaires Terme Sud et cession de biens appartenant à l'Etat: Ousmane Sonko saisit l'Assemblée nationale (Documents)

Affaires Terme Sud et cession de biens appartenant à l'Etat: Ousmane Sonko saisit l'Assemblée nationale (Documents)

Affaires Terme Sud et cession de biens appartenant à l'Etat: Ousmane Sonko saisit l'Assemblée nationale (Documents)



Dimanche 18 Octobre 2020 - 14:03


div id="taboola-below-article-thumbnails">


1.Posté par Ndiaye le 18/10/2020 20:05
Soutenir un prédateur foncier et condamné
Et vous parlez de bonne gouvernance

Nouveau commentaire :
Facebook Twitter