Connectez-vous S'inscrire
PRESSAFRIK.COM , L'info dans toute sa diversité (Liberté - Professionnalisme - Crédibilité)


1.Posté par Mouhamed Bâ le 23/04/2020 12:19
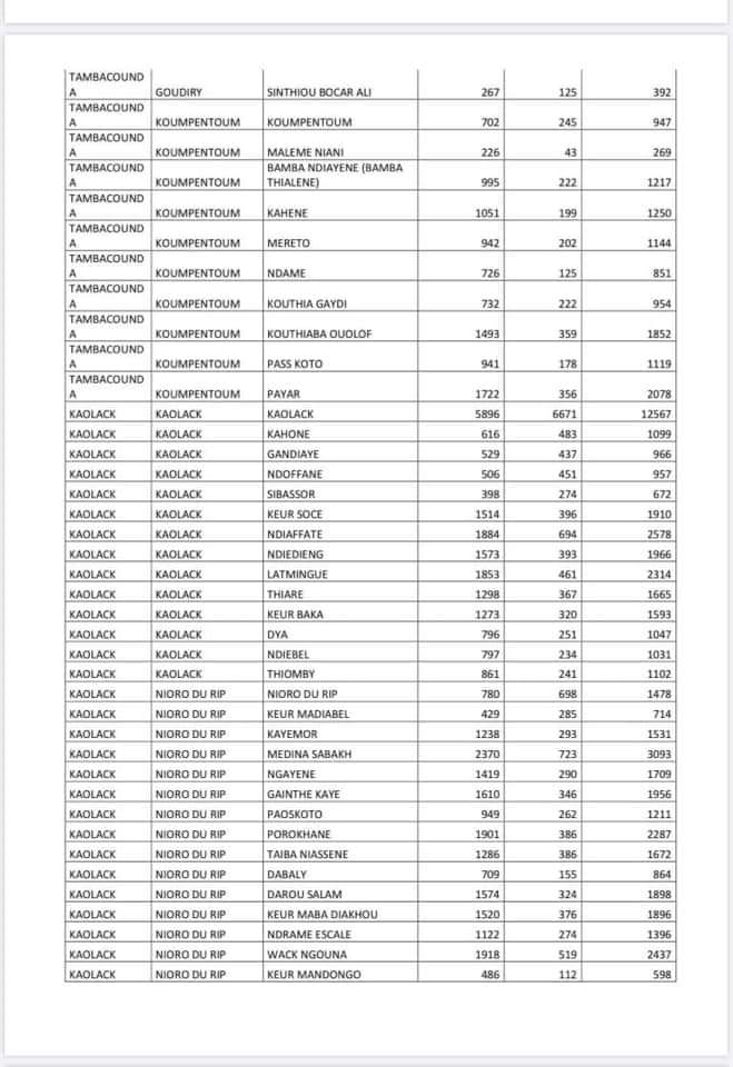
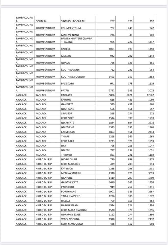
Plusieurs followers ne savent pas que cette liste existe, la liste par commune des ménages bénéficiaires de l'aide alimentaire.

2.Posté par SARR le 24/04/2020 13:42
J ME suis inscrit a ourosogui 783011578 JATTEND ENCORE

Nouveau commentaire :
Facebook Twitter